Schritt 2: Ihre Übereinstimmungsliste.
Hinweis:
- Klicken Sie auf die Parteien, um mehr Informationen zu erhalten.
Berechnung der Übereinstimmungsliste
Die Berechnung der Übereinstimmungswerte erfolgt anhand der euklidischen Distanzformel. Die euklidische Distanz entspricht der geometrischen Distanz im mehrdimensionalen Raum.
In einem ersten Schritt werden sowohl die Antworten der Parteien als auch die Positionsbezüge des Parteienkompass-Nutzers auf einer Skala von 0 bis 100 abgebildet:
- Ja = 100
- Eher ja = 75
- Eher nein = 25
- Nein = 0
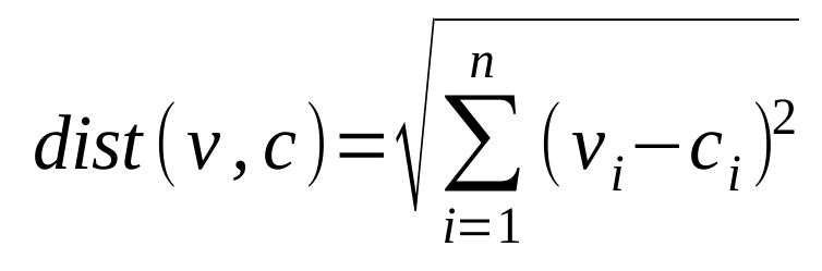
Im nächsten Schritt wird für jede Partei einzeln die euklidische Distanz zur Position des Parteienkompass-Nutzers berechnet

vi: Position Parteienkompass-Nutzers v zur Frage i.
ci: Position der Partei c zur Frage i.
Diese Distanz wird mit der maximal möglichen Distanz (max dist) normiert (d. h. in einen Wert zwischen 0 und 100 umgerechnet) und in einen Übereinstimmungswert gegenüber dem Parteienkompass-Nutzer umgewandelt, anhand dessen die Parteien rangiert werden:

Um die Ergebnisse einfach verständlich darzustellen, wird der Übereinstimmungswert als Prozentwert angeführt. Ein Wert von 100% gibt an, dass maximale Übereinstimmung (also keine Distanz) zwischen zwei Antwortprofilen vorliegt, ein Wert von z. B. 60% sagt demnach aus, dass die Distanz zwischen den beiden Antwortprofilen 40% der geometrisch möglichen Gesamtdistanz entspricht.
Für die Interpretation ist es wichtig zu wissen, dass es sich bei diesem Wert um ein geometrisches Übereinstimmungsmass handelt und nicht um den Anteil der Fragen, bei denen ein Parteinkompass-Nutzer mit den Antworten einer Partei übereinstimmt. Eine Übereinstimmung von beispielsweise 70% bedeutet demnach nicht, dass eine Partei bei genau 70% der Fragen dieselbe Antwort wie der betreffende Parteienkompass-Nutzer gegeben hat.



